[백준 JAVA] 22968 : 균형
2024. 3. 24. 03:09ㆍ백준
[백준 22968] 균형 : https://www.acmicpc.net/problem/22968
22968번: 균형
이진 탐색 트리의 한 종류인 AVL Tree는 "높이 균형 성질"이라는 성질을 이용해 트리의 균형을 맞춘다. 또한, 높이 균형 성질을 만족하는 이진 탐색 트리는 전부 AVL Tree이다. 트리 $T$의 모든 내부
www.acmicpc.net
문제 조건 정리
- 양의 정수 V 가 주어지면, 최대 V 개의 정점을 사용해서 만들 수 있는 AVL Tree의 최대 높이를 출력하는 프로그램을 작성하자.



입력
- 첫째 줄에 테스트 케이스의 개수 가 주어진다.
- 둘째 줄부터 개의 줄에 걸쳐 정점의 개수 가 한 줄에 하나씩 주어진다.
문제를 풀기 전
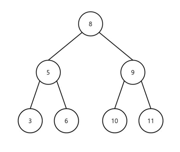
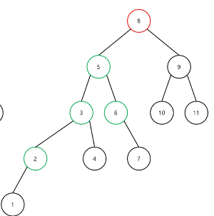
- 그림을 그려보며 규칙을 쉽게 찾았음!
| 트리의 최대 높이 | 필요한 정점의 수 (최소) |
| 1 | 1 (0 + 0 + 1) |
| 2 | 2 (0 + 1 + 1) |
| 3 | 4 (1 + 2 + 1) |
| 4 | 7 (2 + 4 + 1) |
| N | N-2 높이를 만드는데 필요한 정점의 최소 수 + N-1 높이를 만드는데 필요한 정점의 최소 수 + 1 |
코드
import java.io.BufferedReader;
import java.io.IOException;
import java.io.InputStreamReader;
import java.util.StringTokenizer;
public class Main {
public static void main(String[] args) throws IOException {
BufferedReader bufferedReader = new BufferedReader(new InputStreamReader(System.in));
// 최대 높이 계산
// V의 최대 입력 값 1_000_000_000로 만들 수 있는 최대 높이 -> 42
// 1_000_000_000 개의 정점은 높이 41개는 충분히 쌓고 43개는 쌓지 못한다.
// 트리의 높이(1 ~ 43)을 미리 저장
int[] maxHeight = new int[44];
maxHeight[1] = 1;
maxHeight[2] = 2;
maxHeight[3] = 4;
maxHeight[4] = 7;
for (int i = 5; i < maxHeight.length; i++) {
maxHeight[i] = maxHeight[i - 2] + maxHeight[i - 1] + 1;
}
int t = Integer.parseInt(bufferedReader.readLine());
StringBuilder stringBuilder = new StringBuilder();
// 테스트 케이스만큼 반복
for (int i = 0; i < t; i++) {
int v = Integer.parseInt(bufferedReader.readLine());
// 이진 탐색 알고리즘
int left = 1;
int right = maxHeight.length - 1; // 43 (저장해둔 트리 높이)
// 이진 탐색에서 left 가 right 보다 크면 안됨
while (left <= right) {
// mid = left + right 와 동일한 값
// 오버플로우 방지
int mid = left + (right - left) / 2;
// 입력된 정점의 개수로 mid 만큼의 높이를 갖는 트리를 만들 수 있다면?
if (maxHeight[mid] <= v) {
// 그리고 입력된 정점의 개수로 (mid + 1) 만큼의 높이를 갖는 트리를 만들 수 없다면?
// 즉, 입력된 정점의 개수로는 mid 만큼의 높이를 갖는 트리는 만들 수 있고,
// (mid + 1) 만큼의 높이를 갖는 트리는 만들 수 없다.
// 조건 만족 -> mid 기록
if (maxHeight[mid +1] > v) {
stringBuilder.append(mid).append("\n");
break;
// 그리고 입력된 정점의 개수로 (mid + 1) 만큼의 높이를 갖는 트리를 만들 수 있다면?
// mid 값이 커져야한다.
// 즉, left 의 증가
} else {
left = mid + 1;
}
// 입력된 정점의 개수로 mid 만큼의 높이를 갖는 트리를 만들 수 없다면?
// mid 값이 작아져야한다.
// 즉, right 의 증가
} else {
right = mid - 1;
}
}
}
// 결과 출력
System.out.println(stringBuilder);
}
}
문제를 풀고 난 후
주어진 정점의 개수로 최대 높이를 구하는 로직을 1에서부터 42(43의 전)까지 순차적으로 찾는 방법을 사용하면서 비효율적이라고 생각해서, 이진 탐색으로 변경했으나 시간, 공간 복잡도가 거의 비슷해서 아쉬웠음!
AVL 트리를 공부하고 싶어서 검색해서 푼 문제였는데, 내가 생각한 방향과 달라서 아쉬웠으나 오랜만에 쉽게 푼 dp 문제였음!
'백준' 카테고리의 다른 글
| [백준 JAVA] 1520 : 내리막 길 (2) | 2024.04.09 |
|---|---|
| [백준 JAVA] 1981 : 배열에서 이동 (1) | 2024.03.29 |
| [백준 JAVA] 1504 : 특정한 최단 경로 (0) | 2024.03.18 |
| [백준 JAVA] 1167 : 트리의 지름 (1) | 2024.03.16 |
| [백준 JAVA] 13549 : 숨바꼭질 3 (1) | 2024.03.15 |